77779193永利集团逯鹤课题组与合作者提出了一种单备份量子局域滤波操作,该滤波操作可对“隐藏”在高维量子态中的量子性质进行激活和增强,在实验上观测到高维量子态的非定域性、量子隐形传态能力和密集编码能力的激活,以及量子导引能力的增强。相关研究成果以“Experimental Single-Copy Distillation of Quantumness from Higher-Dimensional Entanglement”为题,于4月17日发表在《物理评论快报》(Physical Review Letters)上。博士研究生房晓旭为论文的第一作者,论文通讯作者为逯鹤教授和成功大学Yeong-Cherng Liang教授,77779193永利集团为论文的第一作者单位和通讯作者单位。
量子纠缠是量子力学区别于经典力学的最重要特征之一,可以用来提升通信安全和加速计算,是发挥量子科技优越性的重要资源。相较于二维(Qubit)量子态,高维量子态会展现出更丰富的纠缠形式,如束缚纠缠。此外,高维量子态能提供较高的信息承载量,并具有抗最优克隆和抗噪声的能力,具有重要的应用价值。与二维系统一样,高维量子态也面临环境影响带来的纠缠品质降低,但其提纯技术却存在挑战。首先,是否所有高维NPPT态可以被提纯仍然是未知问题;其次,标准提纯需要多备份量子态,且每个备份的fully entangled fraction(FEF)必须要达到可提纯阈值。
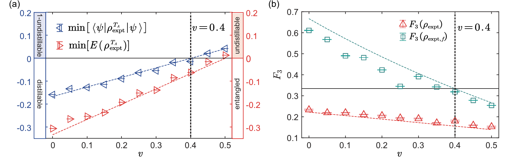
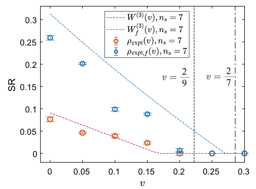
针对这些问题,研究团队提出使用单备份局域滤波操作(ScLF)对高维量子态的量子性质进行提纯。与标准量子纠缠提纯协议不同,ScLF仅需要对噪声态的单个备份进行局域操作,这降低了纠缠提纯的实验复杂度,在光量子系统的实际操作性很强。研究团队提出光子(二维)偏振到(高维)路径的编码技术,制备了三维Werner态(如图1所示),再通过对单一路径的操控实现ScLF。基于上述实验技术,首次在三维Werner态中观测到了贝尔不等式违背,为高维量子非定域性检测提供了重要的实验证据。除此之外,ScLF可以激活Werner态在量子隐形传态和量子密集编码任务中的能力,以及增强Werner态的量子导引能力(如图2所示)。本工作所提出的技术方案,适用于所有可通过
-twirling对称化操作与Werner态相互转换的高维量子态。因此,该实验方案具有普适性,可用来激活和提升高维量子态的量子特性,使其达到标准纠缠提纯所需要的可提纯阈值。

图1:三维Werner态的制备和ScLF操作实验示意图


图2:可提纯性、量子隐形传态能力和量子导引性的激活和增强
该工作得到了国家重点研发计划、国家自然科学基金、山东省自然科学基金、山东省泰山学者和77779193永利集团配套项目的支持。
论文链接:https://link.aps.org/doi/10.1103/PhysRevLett.134.150201